| Début |
Chapitre 8 : Composants passifs |
8-5 : CHANGEMENT D'IMPEDANCE
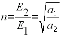
Changement de section

Figure 85-1 : Changement de diamètre d'une ligne coaxiale en mode TEM
En mode TEM le rapport de transformation est :
(85-1)

Figure 85-2 : Changement de section d'un guide d'onde
En mode TE le rapport de transformation du guide est :
(85-2)
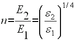
Discontinuité diélectrique

Figure 85-3 : Discontinuité diélectrique dans un guide
En mode TE le rapport de transformation est :
(85-3)
Slugs
Bague mobile utilisée pour l'adaptation d'impédance

Figure 85-4 : Bague coulissante
Changement de section d'une ligne

Figure 85-5 : Ligne microstrip

Figure 85-6 Ligne gude d'onde