| Début |
Chapitre 8 : Composants passifs |
8-3-3 : LES QUADRIPOLES SANS PERTE
Définition : La puissance appliquée à l'entrée se retrouve intégralement à la sortie.
(83-23)

Nous pouvons calculer les champs totaux à l'entré et à la sortie du quadripôle par :
(83-24)
avec :
(83-25)
La puissance totale dissipée dans le quadripôle doit être nulle, ce qui s'écrit :
(83-26)
Soit avec (83-24) et (83-25)
(83-27)
Or, E'1 et E'2 sont indépendants, donc il faut que :
(83-28)
ce qui entraîne que :
(83-29)
pour satisfaire les équations (83-28) on peut choisir :
(83-30)
en reportant ces valeurs dans la dernière équation de (83-28), on obtient facilement :
(83-31)
En choisissant la solution correspondant à k=0 on obtient :
(83-32)
On peut alors calculer le rapport d'onde stationnaire à l'entré qui est le même qu'à la sortie par :
(83-33)
Matrice d'onde des Quadripôles sans perte
(83-34)
avec :
(83-35)
où
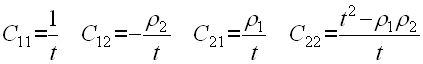
sont donnés par (83-30), ce qui permet d'écrire :
(83-36)
Exemple : tronçon de ligne de longueur L
(83-37)
(83-38)
Symétrie des quadripôles sans perte

Figure 83-6 Equivalence d'un quadripôle non symétrique
(83-39)
Avec (83-36) et (83-38) on obtient :
(83-40)
Dans cette expression :
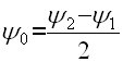
(83-41)
est l'angle de dissymétrie, et :
(83-42)
Transformation des coefficients de réflexion

Figure 83-7 Quadripôle terminé par une charge
Nous avons les relations (83-23) avec :
(83-43)
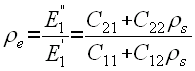
Ce qui permet d'écrire le coefficient de réflexion d'entrée:
(83-44)
En remplaçant les coefficients C tirés de (83-40) on obtient :
(83-45)
Condition d'adaptation d'impédance à l'entrée
il faut obtenir :
(83-46)
l'expression (83-45) nous donne alors :
(83-47)
que l'on peut écrire avec (83-42)
(83-48)
Avec (83-30) nous pouvons écrire :
(83-49)
Donc pour que le quadripôle adapte l'impédance de charge, il suffit d'utiliser un quadripôle sans perte dont le coefficient de réflexion à la sortie soit égal à la valeur complexe conjuguée de la charge.
Application : Liaison entre deux lignes de transmission différentes