| Début |
Chapitre 8 : Composants passifs |
8-3 : LES QUADRIPOLES
Coefficients de transfert : Matrice S
A partir des ondes de référence e1 et e2 à l'entrée et à la sortie, réalisons les deux expériences suivantes :
1- sotie adaptée

2 - entrée adaptée

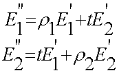
Les quadripôles étant linéaires le théorème de superposition peut s'aplliquer ce qui donne :
(83-14)
que l'on écrit :
(83-15)
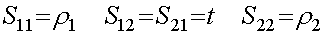
ou S est la matrice de diffusion ou matrice Scattering avec :
(83-16)
Matrices caractéristiques d'un quadripôle :
Matrice Scattering ou matrice de transfert
(83-17)
Matrice d'onde
(83-18)
En utilisant les ondes totales
(83-19)
Matrice impédence
(83-20)
Matrice admittance
(83-21)
Matrice de chaine
(83-22)