| Début |
Chapitre 8 : Composants passifs |
8-10 : LES OCTOPOLES
Coupleurs directifs
Définition

Figure 810-1 : Définition de l'octopôle
Un octopôle possède quatre entrée-sortie. Nous le choisirons sans perte et symétrique.Pour en faire un coupleur directif on souhaite qu'il n'y ai pas de couplage entre les branches 1 et 2 lorsque les branches 3 et 4 sont adaptées et réciproquement.
Conséquence :
(810-1)
La matrice scattering s'écrit :
(810-2)
S'il est sans perte alors :
(810-3)
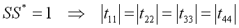
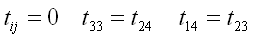
On souhaite un coupleur symétrique adapté sur toutes les entrées :
(810-4)
La matrice scattering se simplifie en :
(810-5)
Exemple
Une onde incidente E'1en 1 donne aux sorties
(810-6)
Définitions
- Voie 3 : Voie directe
- Voie 4 : Voie couplée
- Coefficient de couplage :
(810-7)
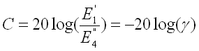
- Directivité :
(810-8)
Ce coefficient traduit les défauts du coupleur. Un coupleur est d'autant meilleur que sa directivité est grande.

Exemples de réalisation de coupleurs directifs




Exemples de réalisation de T magique

Figure 810-2 T magique en guide d'onde et anneau hybride en structure microstrip
La matrice scattering de ce composant est :
(810-9)
Principe : une signal qui entre par l'entrée 4 se divise en deux partie égales qui sortent en opposition de phase par les sorties 1 et 3.
Deux signaux qui entrent en phase par les entrés 1 et 3 sortnet en phase par la sortie 2.
Application : Mélangeur équilibré symétrique.