| Début |
Chapitre 8 : Composants passifs |
8-9 : LES HEXAPOLES
Définition
C'est un multipôle qui possède trois entrées sorties. Nous ne nous intéresserons qu'aux héxapôles sans pertes.

Figure 89-1 : Hexapôle
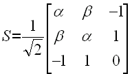
Caractérisation
(98-1)
Plans principaux
Nous allons chercher la valeur de l'impédance à placer à la sortie 3 dans le plan P3 pour que les entrées 1 et 2 soient parfaitement découplées, c'est à dire pour que :
(89-2)
avec :
(89-3)
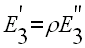
En reportant cette valeur dans la matrice S on obtient :
(89-4)
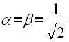
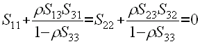
Pour obtenir le découplage total, il faut donc que :
(89-5)
ce qui conduit à :
(89-6)
Or, comme l'héxapole est sans perte, nous savons d'après (88-9) que :
(89-7)
soit :
(89-8)
ce qui permet d'écrire :
(89-9)
Appliqué à S12 cela donne :
(89-10)
Ce qui reporté dans (89-6) donne :
(89-11)
Ce qui montre que :
(89-12)
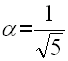
Le coefficient de réflexion peut donc s'écrire :
(89-13)
avec :
(89-14)
Ceci montre qu'un court-circuit placé à une distance l3 définie par
(89-14)
permet de découpler parfaitement l'entrée 1 et la sortie 2 ( et réciproquement).
Le plan dans lequel on doit placer le court-circuit est appelé plan principal
Remarque : Il existe un plan principal dans chacune des entrées.
Plans anti-principaux
Nous allons chercher la valeur de l'impédance à placer à la sortie 3 dans le plan P3 pour avoir transmission totale entre que les entrées 1 et 2 c'est à dire pour que :
(89-15)
soit :
(89-16)
Que l(on peut encore écrire comme précédemment :
(89-17)
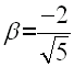
La condition (89-17) n'est possible que si :
(99-18)
Ce qui signifie que l'héxapôle doit être symétrique, et alors :
(89-19)
Ce qui permet d'écrire :
(89-20)
avec :
(89-21)
Conclusion : Dans un héxapôle passif symétrique il existe une postion dans la branche non symétrique où on peut placer un court-circuit, de telle sorte que toute la puissance est transmise entre les branches symétriques.
Exemple d'héxapôles
1- Té série
Figure 89-2 : Té série
(89-22)
2- Té parallèle

Figure 89-3 : Té parallèle
(89-23)
Pour les deux T nous avons :
(89-24)
et, il existe pour les deux T trois plans principaux, mais un seul plan anti principal qui se trouve dans la branche 3
2- Jonction Y

Figure 89-5 : Jonction Y
Il existe une jonction Y plan H et une plan E
(89-25)
avec :
et
(89-26)
Dans les jonctions symétriques, il y a trois plans principaux et trois antiprincipaux